
eISSN: 2093-8462 http://jesk.or.kr
Open Access, Peer-reviewed
Hoseong Shin
, Minwook Lee
, Minseo Kim
, Nahyeon Hwang
, Yihun Jeong
10.5143/JESK.2025.44.6.761 Epub 2026 January 02
Abstract
Objective: This study aims to analyze the differences in mobile application usability across age groups and modality conditions, focusing on how older and younger users perform and perceive tasks under different information presentation formats.
Background: As mobile applications have become essential in daily life, most services are designed with visual information and touch-based interaction, which can increase cognitive workload for older users with cognitive declines. Previous studies have highlighted the importance of age-sensitive mobile application design but have focused on either specific age groups or limited modality types. There is a need for integrated analysis that compares usability across age groups and different information presentation modalities.
Method: This study evaluated usability differences between younger and older adults in mobile application tasks under four modality conditions, defined by a combination of information presentation (visual only vs. visual plus auditory) and help function availability (with vs. without help). A total of 40 participants (20 younger, 20 older adults) performed 12 trials involving three mobile application tasks—shopping, food ordering, and banking. Performance was assessed using objective measures (Completion time, Error count) and subjective workload (NASA-TLX).
Results: Older adults exhibited significantly longer completion times, higher error rates, and greater perceived workload across all tasks compared to younger adults. Main effects of age indicated lower usability for older users, particularly in completion time, errors, and effort. Modality conditions that combined auditory feedback with help functions significantly reduced errors and workload, especially for older adults. Significant age × modality interactions were found in error rates and performance, with older adults benefiting most from help-supported modalities.
Conclusion: Multimodal support and help functions improved usability for older adults. Designing interfaces that reduce cognitive load can enhance mobile accessibility and user experience for older adults.
Application: This study contributes to universal design by presenting effective strategies to reduce cognitive load and enhance mobile application accessibility for older users.
Keywords
Mobile application service Usability Modality Cognitive workload Universal design
모바일 애플리케이션(앱)은 현대인의 일상에서 필수적인 도구로 자리 잡았으며, 정보 검색, 쇼핑, 금융 거래, 음식 주문 등 다양한 서비스를 모바일 플랫폼을 통해 제공하고 있다. 스마트폰을 통한 앱 사용은 사용자에게 편리함과 효율성을 제공하지만, 대부분의 모바일 서비스는 시각적 정보 전달과 터치 기반 인터랙션을 중심으로 설계되어 있다(Hoggan et al., 2008; Punchoojit and Hongwarittorrn, 2017). 이러한 설계는 디지털 환경에 익숙한 청년층에게는 효과적인 사용성을 제공할 수 있으나, 시각 처리 능력과 반응 속도가 저하된 고령층에게는 사용상의 불편을 초래할 수 있다(Costello et al., 2010). 특히 시각 정보 중심의 인터페이스는 정보 이해와 의사결정 과정에서 인지적 부담을 증가시켜 오류 발생 가능성을 높일 수 있다(Czaja and Lee, 2007). 이에 따라 고령층의 특성을 반영한 시각, 청각, 촉각을 결합한 다채널 정보 제공 방식이 필요하다.
모바일 앱 사용성에 관한 기존 연구를 살펴보면, Joung (2023)은 60세 이상 고령자를 대상으로 실제 모바일 뱅킹앱을 사용해 사용성을 평가하여 효율성, 만족도, 효과성은 높지만, 학습가능성, 기억가능성, 오류, 인지부하는 상대적으로 낮은 점수를 보고하였다. Kim and Ko (2021)은 음식 주문 앱에서 청년층과 노년층의 정보탐색 방식을 비교하여, 메뉴 이름, 사진, 텍스트 설명이 함께 제시될 때 고령자에게 도움이 된다는 점을 확인하였다. Gomez-Hernandez et al. (2023)은 고령자를 위한 설계 지침을 제시하며, 시각적 요소의 단순화와 상호작용 요소의 크기 및 간격 조정의 중요성을 강조하였다. Wang et al. (2022)은 고령자를 대상으로 한 헬스 앱 평가를 통해, 시각 중심 인터페이스와 터치 기반 상호작용이 고령 사용자에게 인지적 부담을 줄 수 있음을 확인하였다. 반면, Idrisov et al. (2023)은 청년층을 대상으로 한 자기 관리 앱 평가에서 직관적인 인터페이스와 정보 탐색의 용이성이 사용자 만족도 향상에 기여한다고 보고하였다. Thornton et al. (2021)은 청소년 대상 건강 행동 변화 앱의 개발 및 사용성 평가를 통해 높은 수용성과 긍정적인 사용자 경험을 확인하였으며, Ashraf et al. (2018)은 고령층과 청년층 간 모바일 폰 사용성 차이를 분석하여, 고령층을 위한 사용자 인터페이스 설계의 필요성을 강조하였다.
위에서 언급한 과거 연구들은 연령별 사용자 특성과 요구를 반영한 모바일 앱 설계와 평가의 중요성을 강조하였으며, 사용자 중심 설계의 필요성을 뒷받침하는 실증적 근거를 제공하였다. 그러나 대부분의 기존 연구는 특정 연령층을 대상으로 하였거나 시각 정보 중심의 인터페이스에 국한된 평가를 수행하는 경향이 있었으며, 연령 간 차이를 비교하면서 다양한 모달리티 조건(예: 시각, 청각, 도움말 기능 등)이 사용성에 미치는 영향을 통합적으로 분석한 연구는 부족하였다. 이러한 한계는 고령층에게 효과적인 정보 전달 방식과 상호작용 전략을 설계하는데 어려움을 줄 수 있다. 따라서 본 연구는 모바일 쇼핑, 음식 주문, 모바일 뱅킹과 같이 일상적으로 사용하는 모바일 서비스에서 고령자가 상품 탐색, 주문 절차 이해, 결제 · 이체 단계 수행 과정에서 겪는 수행 성능 저하와 인지적 부담을 파악하고, 이를 완화할 수 있는 인터페이스 설계 방안을 탐색하는 것을 목적으로 하였다. 구체적으로, 현재 상용 앱에서 일반적으로 제공되는 시각 정보 중심 인터페이스를 기준 조건으로 설정하고, 음성 안내 및 도움말 기능 제공 여부를 조합한 네 가지 모달리티(Modality) 조건을 설계한 뒤, 이들 조건이 연령 집단별 과업 수행 성과(완료 시간, 에러 횟수, 성취도)와 주관적 작업부하(NASA-TLX)에 미치는 영향을 실험적으로 분석하였다. 본 연구는 유니버설 디자인(Universal Design)의 관점에서 고령층의 디지털 금융·소비 서비스 접근성을 향상시킬 수 있는 구체적인 정보 설계 지침을 제시하며, 고령층의 일상 생활에서의 디지털 격차 완화와 삶의 질 향상에 실질적으로 기여할 수 있을 것으로 기대된다.
2.1 Participants
본 연구의 참여자는 청년기본법(Framework Act on Youth, 2023)에 근거한 만 19세 이상 34세 이하의 청년층 20명(남 10명, 여 10명, 평균 연령: 22.60세, SD: 1.57)과 노인복지(Welfare of Senior Citizens Act, 2024)에 근거한 만 65세 이상의 고령층 20명(남 10명, 여 10명, 평균 연령: 71.10세, SD: 5.06)으로 구성되었다. 최근 1개월 이내에 모바일 앱 서비스(모바일 쇼핑, 음식 배달, 모바일 뱅킹 등)를 1회 이상 사용한 경험이 있는 사람만 모집하였다.
2.2 Experimental design
본 연구의 실험은 모바일 앱 서비스의 사용성 평가를 위해 두 연령 집단(청년층, 고령층)이 4가지 모달리티 조건(Table 1)에서 3가지 과업(Table 2)을 총 12회 수행하는 방식으로 구성되었다.
|
Modality |
Help function |
Information presentation |
|
1 |
Not provided |
Visual Only |
|
2 |
Provided |
Visual Only |
|
3 |
Not provided |
Visual + Auditory |
|
4 |
Provided |
Visual + Auditory |
|
Task |
Application |
Brief description |
|
1 |
Coupang |
Select and purchase a specific product using the mobile shopping
application. |
|
2 |
Baemin |
Order food from a restaurant using the food delivery application. |
|
3 |
Toss |
Transfer money between bank accounts using the mobile banking
application. |
모달리티는 시각, 청각, 촉각 등 감각 채널에 기반한 인터페이스 유형을 의미한다(Hoggan, 2024). 본 연구에서는 모바일 앱 화면을 통해 제공되는 시각 정보와 음성 피드백을 통해 제공되는 청각 정보를 기본 채널로 설정하고, 여기에 음성 기반 도움말 기능을 결합한 네 가지 인터페이스 유형을 모달리티 조건으로 설정하였다(Table 1). 도움말 기능은 모달리티 2와 4에서 제공되었으며, 사용자가 도움말 버튼을 누르거나 화면에서 4초 이상 입력이 없을 경우 실행되었다. 이 기능은 AI 기반 지원 시스템이 상담 직원과 유사한 수준의 안내를 제공할 수 있다고 가정하여, 본 실험에서는 참여자의 도움 요청 시 실험 진행자가 음성 안내를 제공하는 방식으로 구현하였다(Figure 1). 정보 제공 방식은 앱 화면만 제시하는 조건과 앱 화면 터치 시 음성 피드백을 제공하는 조건으로 구분하였다. 세 가지 과업은 모바일 앱에서 주로 사용되는 서비스로 구성하였으며, 각각 모바일 쇼핑(쿠팡[Coupang Corp., Korea]), 음식 주문(배달의 민족 [Woowa Brothers Corp., Korea]), 모바일 뱅킹(토스 앱[Viva Republica Inc., Korea])을 활용하였다. 실험에 사용된 스마트폰은 Samsung Galaxy A51 기종이다.
완료 시간은 참여자가 처음으로 화면을 터치한 시점부터 해당 시나리오의 모든 단계(Figures 2-4)를 완료할 때까지 소요된 시간으로 정의하였다. 오류 횟수는 각 과업 시나리오 단계(Figures 2-4)에서 잘못된 값을 입력하거나 잘못된 버튼을 누른 횟수로 측정하였다.
각 과업 수행의 객관적 평가는 완료 시간(Completion time)과 에러 횟수(Error count)로 측정하였으며, 주관적 작업부하는 NASA-TLX 설문지(Hart and Staveland, 1988)를 활용하여 노력(Effort), 성취도(Performance), 시간적 요구(Temporal demand), 신체적 요구(Physical demand), 정신적 요구(Mental demand), 좌절감(Frustration)의 6가지 차원으로 평가하였다. NASA-TLX의 각 항목은 0에서 100점으로 응답 가능하며 점수가 높을수록 부하가 크거나 과업 수행에 대한 주관적 경험이 더 부정적임을 나타낸다.
본 연구는 연령(청년/고령)과 모달리티 조건에 따른 사용성 차이를 객관 성과와 주관 부하의 두 축으로 파악했다. 완료 시간(Time to completion), 에러 횟수(Error count)로 효율 · 효과를 직접 측정하고, NASA-TLX로 사용자가 체감하는 정신/신체/시간 요구, 수행도, 노력, 좌절의 6차원 부하 프로파일을 수집하여 만족 · 부담의 측면을 보완하려는 선택이다. NASA-TLX는 주어진 성과를 달성하기 위해 지불한 인지적 비용을 다차원으로 추정하도록 설계 · 검증되어 HCI/고령층 연구 전반에서 신뢰도 · 민감도가 입증되어 왔다(Grier, 2015; Devos et al., 2020). 본 연구는 이러한 이유로 객관 지표와 NASA-TLX를 병행하였다.
본 연구의 주요 가설은 다음과 같다. 첫째, 연령 주효과에서 고령층은 청년층 대비 완료 시간 · 에러 · 작업부하가 높을 것이다. 둘째, 모달리티 주효과에서 멀티 모달리티가 완료 시간 · 에러 · 작업부하를 낮출 것이다. 셋째, 교호작용(연령 × 모달리티)에서 모달리티의 개선 효과는 고령층에서 더 크게 나타날 것이다.
2.2.1 Scenario for mobile shopping task
모바일 쇼핑 과업은 쇼핑 앱을 이용하여 제품을 검색하고 선택하여 장바구니에 담은 후, 결제 직전 단계까지 진행하는 방식으로 수행되었다. 실험 환경은 상품명, 배송지, 결제 카드사 등을 현실적이고 다양한 조건으로 구성하였다. 피실험자는 제품 검색부터 결제까지 총 8단계의 모바일 쇼핑 과업을 수행하였다(Figure 2).
실험 환경은 모달리티 조건에 따른 완료 시간 및 과업 수행 결과에 영향을 주는 외부 변수를 최소화하는 방향으로 설계되었다. 먼저, 제품명은 자음과 모음의 개수를 통일하여 입력 또는 인식 속도의 차이가 과업 수행 시간에 영향을 미치지 않도록 하였다. 배송지는 서로 다른 4개의 주소를 사전에 설정하여, 모달리티 별로 완료 시간에 영향이 가지 않게 하였다. 또한, 제품 검색 시 탐색으로 인한 시간 차이를 줄이기 위해 검색 결과 중 가장 먼저 나타나는 상품을 선택하도록 하였다.
2.2.2 Scenario for food ordering task
음식 주문 과업은 배달 앱을 활용하여 사용자가 음식을 선택하고 결제 직전까지 진행하는 방식으로 수행되었다. 과업은 사용자가 배달 버튼을 눌러 원하는 음식 카테고리를 탐색하고, 스크롤을 내려 원하는 가게를 찾아 메뉴를 선택하는 흐름으로 구성되었으며, 메뉴 선택 후 장바구니 및 결제 페이지로 이동하여 주문을 마무리하는 방식이다(Figure 3).
실험 환경은 모달리티 조건에 따라 메뉴 탐색 방식의 차이가 과업 시간에 미치는 영향을 분석할 수 있도록 설계되었다. 모든 피실험자가 동일한 방식으로 앱을 시작할 수 있도록 '배달' 버튼을 누르고 진입하도록 하였으며, 모달리티 조건별로 서로 다른 카테고리 및 메뉴 구성을 제공하여 참여자가 메뉴를 찾는 과정에 집중할 수 있도록 하였다. 또한, 검색 기능을 제한하고 스크롤을 통해 가게를 탐색하도록 유도함으로써 정보 탐색 시간도 과업 수행 시간에 포함되도록 하였다.
2.2.3 Scenario for mobile banking task
모바일 뱅킹 과업은 앱을 이용하여 송금 과정을 수행하는 방식으로 구성되었다. 참가자는 송금할 은행을 직접 선택하고, 계좌번호 및 금액을 입력한 후, 수취인 정보를 확인하고 송금을 완료하는 절차를 따랐다(Figure 4).
실험 환경은 반복 수행 시 학습 효과나 과업 간 중복을 방지하고, 실제 송금 상황과 유사한 절차를 반영하여 설계되었다. 먼저, 은행은 서로 다른 기관으로 설정하여 중복 선택이 발생하지 않도록 하였으며, 참가자가 직접 은행을 찾아 선택하게 함으로써 탐색 과정을 유도하였다. 각 trial마다 송금 금액의 입력 방식은 동일하게 유지하되, 금액의 중복은 피하도록 하여 일관성을 확보하였다. 또한, 최근 송금 계좌를 활용하지 못하도록 설정하여 계좌번호를 직접 입력하게 하였으며, 자동 은행 인식 기능을 비활성화하여 참가자가 은행을 인지하고 선택하는 과정을 포함하도록 하였다.
2.3 Experimental procedure
실험에 앞서 연구 목적, 실험 절차 및 방법에 대한 설명을 듣고 동의서를 작성한 뒤, 참여자는 사전 설문을 포함한 준비 절차를 수행하였다. 각 실험은 시작 전 약 10분간의 연습 세션(Training session)이 제공되었다. 본 실험에서 수행한 주요 과업은 모바일 앱 환경에서 자주 사용되는 세 가지로 모바일 쇼핑(Coupang), 음식 주문(배달의 민족), 모바일 뱅킹(Toss)을 포함한다. 각 과업은 4가지 모달리티 조건하에서 수행되었으며, 총 12개의 Trial로 구성되었다.
각각의 Trial은 참여자마다 중복되지 않은 조합과 순서로 무작위(Random order)로 제시되었으며, 각 Trial 종료 후에는 1분 이상의 휴식 시간이 제공되었다. 실험은 연습 시간 10분, 과업 수행 시간 2분 × 12개 = 24분, 휴식 시간 1분 × 11회 = 11분으로 약 45분이 소요되었다.
본 연구는 계명대학교 생명윤리위원회의 심의 및 승인을 받은 후 진행되었다(승인번호: 40525-202307-HR-025-02).
2.4 Statistical analyses
현재의 모바일 앱 서비스(모달리티 1) 이용 시 고령층의 불편함을 확인하기 위해, 연령대에 따른 사용성 평가를 실시하고 완료 시간, 오류 횟수, NASA-TLX 점수에 대해 독립표본 t-검정(independent samples t-test)을 수행하였다.
또한 4가지 모달리티 조건(도움말 제공 여부, 정보 제시 방식)과 두 연령 집단(청년층, 고령층)에 따른 영향을 분석하고자 이원 혼합설계 분산분석(two-way mixed ANOVA)을 실시하였다. 독립변수에서 집단 간 요인(between-subject factor)은 연령 집단(청년층, 고령층)이며, 집단 내 요인은 모달리티(4개 레벨)이다. 종속변수는 완료 시간, 오류 횟수, 주관적 작업부하(NASA-TLX의 노력, 성취도, 시간적 요구, 신체적 요구, 정신적 요구, 좌절감)이다.
분산분석에서 구형성 가정(sphericity assumption)을 평가하기 위하여 Mauchly 검정을 실시하였으며, 구형성이 위반된 경우 자유도(degrees of freedom)를 수정하였다(Field, 2009). 분산분석에는 주효과(연령, 모달리티)와 교호작용 효과(연령 × 모달리티)를 분석하였다. 주효과 결과가 유의할 경우, 구체적인 그룹 간 차이를 확인하기 위한 사후 분석(post-hoc test)은 본페로니 교정(Bonferroni correction)을 적용한 다중 비교(multiple comparisons)를 통해 실시하였다. 교호작용 효과가 유의한 경우에는 단순 주효과 분석(simple main effect analysis)을 수행하였다. 모든 통계 분석은 SPSS Statistics 29 (IBM, USA)를 이용하여 수행하였으며, 유의수준(α)은 0.05로 설정하였다.
3.1 Analysis of age difference in current mobile application
3.1.1 Mobile shopping task
모달리티 1에 대한 연령 간 t-검정 분석 결과, 모바일 쇼핑 과업의 모든 평가 항목에서 집단 간에 통계적으로 유의한 차이가 나타났다. 모든 항목에서 고령층은 청년층에 비해 더 높은 수행 난이도와 작업부하를 경험한 것으로 나타났다(Table 3).
|
|
Young (n = 20) Mean ± SD |
Older (n = 20) |
t |
p-value |
|
Completion time |
55.81±10.39 |
155.47±45.30 |
-9.589 |
< 0.001*** |
|
Error count |
0.55±0.79 |
3.40±2.00 |
-5.255 |
< 0.001*** |
|
Mental demand |
39.75±25.47 |
58.00±29.12 |
-2.109 |
0.021* |
|
Physical demand |
19.25±16.24 |
28.75±19.05 |
-2.815 |
0.021* |
|
Temporal demand |
29.00±19.57 |
48.50±25.40 |
-2.720 |
0.005** |
|
Performance |
15.76±22.20 |
29.50±18.77 |
-2.115 |
0.021* |
|
Effort |
49.50±28.88 |
82.00±11.52 |
-4.697 |
< 0.001*** |
|
Frustration |
19.25±21.42 |
32.00±21.42 |
-1.730 |
0.048* |
|
Note: *p < .05, **p < .01, ***p < .001 |
||||
3.1.2 Food ordering task
모달리티 1에 대한 연령 간 t-test 분석 결과, 음식 주문 과업의 대부분의 평가 항목에서 집단 간 통계적으로 유의미한 차이가 나타났다. 완료 시간(Completion time)과 에러 횟수(Error count)는 모두 고령층이 청년층보다 유의하게 높은 값을 나타냈다. 주관적 작업부하 항목에서도 정신적 요구(Mental demand), 시간적 요구(Temporal demand), 성취도(Performance), 노력(Effort)은 통계적으로 유의한 차이를 보였다(Table 4).
한편, 신체적 요구(Physical demand)와 좌절감(Frustration)은 통계적으로 유의하지 않았으나, 평균값 비교에서는 신체적 요구(Physical demand)의 경우 청년층 평균 16.50 (SD: 16.23), 고령층 평균 20.00 (SD: 14.87)로 고령층의 더 큰 신체적 부담이 확인되었다. 좌절감(Frustration) 또한 청년층 평균 17.75 (SD: 23.08), 고령층 평균 26.00 (SD: 19.30)으로 고령층의 높은 좌절감이 확인되었다(Table 4).
|
|
Young (n = 20) Mean ± SD |
Older (n = 20) |
t |
p-value |
|
Completion time |
47.77±15.02 |
132.16±38.64 |
-9.102 |
< 0.001*** |
|
Error count |
0.25±0.44 |
1.85±2.00 |
-3.481 |
0.001** |
|
Mental demand |
32.75±25.98 |
49.50±31.20 |
-1.845 |
0.036* |
|
Physical demand |
16.50±16.23 |
20.00±14.87 |
-0.711 |
0.241 |
|
Temporal demand |
28.50±27.49 |
48.50±31.00 |
-2.159 |
0.018* |
|
Performance |
10.25±11.97 |
29.50±22.59 |
-3.367 |
0.001** |
|
Effort |
45.00±28.60 |
78.75±15.88 |
-4.613 |
< 0.001*** |
|
Frustration |
17.75±23.08 |
26.00±19.30 |
-1.120 |
0.136 |
|
Note: *p < .05, **p < .01, ***p < .001 |
||||
3.1.3 Mobile banking task
모달리티 1에 대한 연령 간 t-test 분석 결과, 모바일 뱅킹 과업의 다수의 평가 항목에서 집단 간 통계적으로 유의한 차이가 확인되었다. 완료 시간(Completion time)과 에러 횟수(Error count) 모두 고령층이 청년층보다 유의하게 높은 값을 나타냈다. 주관적 작업부하 항목에서도 정신적 요구(Mental demand), 시간적 요구(Temporal demand)는 노력(Effort), 좌절감(Frustration)은 통계적으로 유의한 차이를 나타냈으며, 고령층이 청년층에 비해 유의하게 높은 값을 나타냈다(Table 5).
한편, 신체적 요구(Physical demand)와 성취도(Performance)는 통계적으로 유의하지 않았으나, 평균값 비교에서는 신체적 요구(Physical demand)의 경우 청년층 평균 15.50 (SD: 15.12), 고령층 평균 23.50 (SD: 21.83)로 고령층의 더 큰 신체적 부담이 확인되었다. 성취도(Performance) 또한 청년층 평균 12.00 (SD: 16.73), 고령층 평균 17.50 (SD: 14.82)으로 고령층의 낮은 성취감이 확인되었다(Table 5).
|
|
Young (n = 20) Mean ± SD |
Older (n = 20) |
t |
p-value |
|
Completion time |
29.93±6.39 |
61.71±19.42 |
-6.947 |
< 0.001*** |
|
Error count |
0.10±0.30 |
0.55±0.88 |
-2.143 |
0.019* |
|
Mental demand |
31.25±27.14 |
51.00±32.01 |
-2.101 |
0.021* |
|
Physical demand |
15.50±15.12 |
23.50±21.83 |
-1.347 |
0.139 |
|
Temporal demand |
21.25±21.88 |
37.00±25.36 |
-2.103 |
0.021* |
|
Performance |
12.00±16.73 |
18.50±14.82 |
-1.100 |
0.139 |
|
Effort |
40.25±29.76 |
81.75±13.30 |
-5.694 |
< 0.001*** |
|
Frustration |
12.25±20.68 |
24.50±23.72 |
-1.741 |
0.048* |
|
Note: *p < .05, **p < .01, ***p < .001 |
||||
3.2 Main effects of age in two-way ANOVA
3.2.1 Mobile shopping task
모바일 쇼핑 과업에서 연령에 따른 주효과 분석 결과, 대부분의 평가 항목에서 집단 간 통계적으로 유의미한 차이가 확인되었다. 완료 시간(Completion time)과 에러 횟수(Error count)는 모두 고령층이 청년층보다 유의하게 높은 값을 나타냈다. 주관적 작업부하 항목에서도 정신적 요구(Mental demand), 시간적 요구(Temporal demand), 성취도(Performance), 노력(Effort), 좌절감(Frustration)은 모두 통계적으로 유의한 차이를 나타냈으며, 고령층이 청년층에 비해 유의하게 높은 값을 나타냈다(Table 6).
한편, 신체적 요구(Physical demand)는 통계적으로 유의하지 않았으나, 평균값 비교에서는 청년층 평균 18.88 (SD: 16.61), 고령층 평균 28.25 (SD: 19.79)로 고령층의 더 큰 신체적 부담이 확인되었다(Table 6).
|
|
Young (n = 20) Mean ± SD |
Older (n = 20) |
F |
p-value |
η2 |
|
Completion time |
55.61±9.08 |
147.31±43.86 |
126.112 |
< 0.001*** |
0.768 |
|
Error count |
0.52±0.79 |
2.64±1.81 |
27.059 |
< 0.001*** |
0.416 |
|
Mental demand |
32.75±23.24 |
56.68±27.11 |
12.313 |
0.001** |
0.245 |
|
Physical demand |
18.88±16.641 |
28.25±19.79 |
3.370 |
0.074 |
0.081 |
|
Temporal demand |
26.88±19.57 |
50.43±25.40 |
14.080 |
< 0.001*** |
0.270 |
|
Performance |
13.00±19.87 |
27.87±18.26 |
10.795 |
0.002** |
0.221 |
|
Effort |
44.06±26.81 |
78.56±16.50 |
29.946 |
< 0.001*** |
0.441 |
|
Frustration |
16.00±21.09 |
33.56±22.40 |
10.495 |
0.002** |
0.216 |
|
Note: *p < .05, **p < .01, ***p < .001 |
|||||
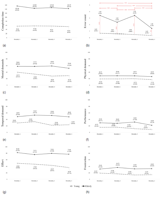
3.2.2 Food ordering task
음식 주문 과업에서 연령에 따른 주효과 분석 결과, 대부분의 평가 항목에서 집단 간 통계적으로 유의미한 차이가 확인되었다. 완료 시간(Completion time)과 에러 횟수(Error count)는 모두 고령층이 청년층보다 유의하게 높은 값을 나타냈다. 주관적 작업부하 항목에서도 정신적 요구(Mental demand), 시간적 요구(Temporal demand), 성취도(Performance), 노력(Effort), 좌절감(Frustration)은 모두 통계적으로 유의한 차이를 나타냈으며, 고령층이 청년층보다 유의하게 높은 값을 나타냈다(Table 7).
한편, 신체적 요구(Physical demand)는 통계적으로 유의하지 않았으나, 평균값 비교에서는 청년층 평균 16.93 (SD: 17.09), 고령층 평균 23.19 (SD: 16.30)로 고령층의 더 큰 신체적 부담이 확인되었다(Table 7).
|
|
Young (n = 20) |
Older (n = 20) |
F |
p-value |
η2 |
|
Completion time |
47.56±13.24 |
129.29±35.05 |
645.777 |
< 0.001*** |
0.944 |
|
Error count |
0.29±0.17 |
1.89±0.47 |
32.734 |
< 0.001*** |
0.463 |
|
Mental demand |
29.63±22.44 |
56.68±27.11 |
10.933 |
0.002** |
0.223 |
|
Physical demand |
16.93±17.09 |
23.19±16.30 |
1.819 |
0.185 |
0.046 |
|
Temporal demand |
25.50±21.77 |
44.68±27.45 |
8.404 |
0.006** |
0.181 |
|
Performance |
10.93±13.43 |
22.75±15.75 |
8.726 |
0.005** |
0.187 |
|
Effort |
45.31±27.65 |
78.68±15.19 |
25.017 |
< 0.001*** |
0.397 |
|
Frustration |
14.44±19.11 |
28.25±20.73 |
6.270 |
0.017* |
0.142 |
|
Note: *p < .05, **p < .01, ***p < .001 |
|||||
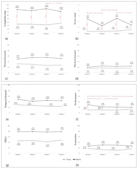
3.2.3 Mobile banking task
모바일 뱅킹 과업에서 연령에 따른 주효과 분석 결과, 대부분의 평가 항목에서 집단 간 통계적으로 유의한 차이가 나타났다. 완료 시간(Completion time)과 에러 횟수(Error count)는 모두 고령층이 청년층보다 유의하게 높은 값을 나타냈다. 주관적 작업부하 항목 중에서 정신적 요구(Mental demand), 시간적 요구(Temporal demand), 노력(Effort), 좌절감(Frustration)은 통계적으로 유의한 차이를 나타냈으며, 고령층이 청년층보다 유의하게 높은 값을 나타냈다(Table 8).
한편, 신체적 요구(Physical demand)와 성취도(Performance)는 통계적으로 유의하지 않았으나, 평균값 비교에서는 신체적 요구(Physical demand)의 경우 청년층 평균 14.93 (SD: 14.93), 고령층 평균 22.00 (SD: 17.81)로 고령층이 더 큰 신체적 부담을 나타냈다. 성취도(Performance) 또한 청년층 평균 9.94 (SD: 15.92), 고령층 평균 18.06 (SD: 13.65)으로 고령층의 낮은 성취감이 확인되었다(Table 8).
|
|
Young (n = 20) |
Older (n = 20) |
F |
p-value |
η2 |
|
Completion time |
29.37±5.88 |
63.43±19.02 |
101.853 |
< 0.001*** |
0.728 |
|
Error count |
0.19±0.13 |
0.81±0.30 |
17.273 |
< 0.001*** |
0.312 |
|
Mental demand |
27.38±22.13 |
47.94±31.14 |
7.250 |
0.010* |
0.160 |
|
Physical demand |
14.93±15.06 |
22.00±17.81 |
2.168 |
0.149 |
0.054 |
|
Temporal demand |
20.00±20.87 |
36.94±24.77 |
6.559 |
0.015** |
0.147 |
|
Performance |
9.94±15.92 |
18.06±13.65 |
4.065 |
0.051 |
0.097 |
|
Effort |
39.38±28.60 |
77.75±16.97 |
28.637 |
< 0.001*** |
0.430 |
|
Frustration |
11.13±16.88 |
23.56±19.16 |
5.350 |
0.026* |
0.123 |
|
Note: *p < .05, **p < .01, ***p < .001 |
|||||
3.3 Main effects of modality in two-way ANOVA
3.3.1 Mobile shopping task
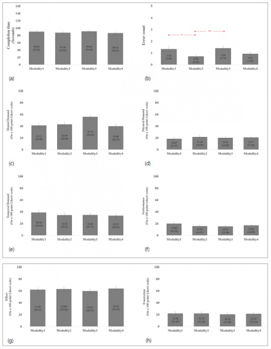
모바일 쇼핑 과업에서 모달리티에 따른 주효과 분석 결과, 에러 횟수는 F(3, 114) = 21.658, p < 0.001, η2 = 0.363, 성취도(Performance)는 F(3, 114) = 3.093, p = 0.030, η2 = 0.075, 노력은 F(3, 114) = 3.918, p = 0.011, η2 = 0.093으로 통계적으로 유의한 차이가 나타났다.
완료 시간(Completion time)은 F(3, 114) = 0.768, p = 0.514, η2 = 0.020, 정신적 요구(Mental demand)는 F(2.546, 96.738) = 2.420, p = 0.081, η2 = 0.060, 신체적 요구(Physical demand)는 F(2.147, 81.587) = 0.497, p = 0.623, η2 = 0.013, 시간적 요구(Temporal demand)는 F(2.009, 76.337) = 1.798, p = 0.172, η2 = 0.045, 좌절감(Frustration)은 F(2.912, 110.647) = 0.536, p = 0.654, η2 = 0.014로 나타나 통계적으로 유의하지 않았다.
사후 분석 결과, 에러 횟수(Error count)에서 시각 정보만 제공되고 도움말 기능이 없는 모달리티 1과 시각, 청각 정보가 제공되며 도움말 기능이 있는 모달리티 4 간의 차이가 나타났다(p < 0.001). 시각, 청각 정보는 동일하게 제공되지만 도움말 기능이 없는 모달리티 3과 도움말 기능이 있는 모달리티 4 간의 차이도 유의하였다(p < 0.001). 모달리티 1과 도움말 기능이 있는 모달리티 2 간(p < 0.05), 모달리티 2와 모달리티 4 간(p < 0.05)의 차이 또한 통계적으로 유의하였다. 노력(Effort) 항목에서는 모달리티 1과 모달리티 4의 차이가 통계적으로 유의하였다(p < 0.05). 성취도(Performance)는 F(3, 114) = 3.093, p = 0.030, η2 = 0.075로 유의하였으나, 사후 분석에서는 유의한 쌍 비교가 나타나지 않았다(Figure 5).
유의하지 않은 항목에 대해서 작업부하의 평균값 비교를 살펴보면 좌절감(Frustration)을 제외한 모든 항목에서 시각, 청각 정보가 제공되며 도움말 기능이 있는 모달리티 4가 가장 낮은 작업부하 평균 값을 보였다(Figure 5).
3.3.2 Food ordering task
음식 주문 과업에서 모달리티에 따른 주효과 분석 결과, 에러 횟수(Error count) 항목에서만 F(2.145, 81.526) = 4.744, p = 0.010, η2 = 0.111으로 통계적으로 유의한 차이가 나타났다. 반면, 완료 시간(Completion time)은 F(3, 114) = 0.680, p = 0.566, η2 = 0.018, 정신적 요구(Mental demand)는 F(2.681, 101.893) = 0.225, p = 0.859, η2 = 0.006, 신체적 요구(Physical demand)는 F(2.561, 97.325) = 0.728, p = 0.517, η2 = 0.019, 시간적 요구(Temporal demand)는 F(2.531, 96.174) = 0.838, p = 0.460, η2 = 0.022, 성취도(Performance)는 F(2.363, 89.803) = 2.616, p = 0.069, η2 = 0.064, 노력(Effort)은 F(2.358, 89.599) = 1.311, p = 0.276, η2 = 0.033, 좌절감(Frustration)은 F(2.584, 98.195) = 0.113, p = 0.934, η2 = 0.003으로 나타나 통계적으로 유의하지 않았다.
사후 분석 결과, 에러 횟수에서 시각 정보만 제공되고 도움말 기능이 없는 모달리티 1과 시각 정보, 도움말 기능이 제공되는 모달리티 2 간(p < 0.05), 그리고 모달리티 2와 시각, 청각 정보가 제공되며 도움말 기능이 없는 모달리티 3 간(p < 0.01)의 차이가 통계적으로 유의하였다(Figure 6). 즉, 모달리티 2가 1과 3에 비해 통계적으로 유의하게 낮은 에러 횟수를 보였다.
평균값 비교 결과, 성취도(Performance), 시간적 요구(Temporal demand), 신체적 요구(Physical demand), 정신적 요구(Mental demand), 완료 시간(Completion time) 등 대부분의 항목에서 모달리티 4(시각+청각 정보 제공, 도움말 제공) 조건이 가장 낮은 평균값을 보였다(Figure 6).
3.3.3 Mobile banking task
모바일 뱅킹 과업에서 모달리티에 따른 주효과 분석 결과, 완료 시간(Completion time)은 F(3, 114) = 0.464, p = 0.708, η2 = 0.012, 에러 횟수(Error count)는 F(2.337, 88.822) = 0.408, p = 0.698, η2 = 0.011, 정신적 요구(Mental demand)는 F(2.485, 94.437) = 0.988, p = 0.391, η2 = 0.025, 신체적 요구(Physical demand)는 F(1.755, 67.207) = 1.017, p = 0.542, η2 = 0.015, 시간적 요구(Temporal demand)는 F(3, 114) = 0.740, p = 0.530, η2 = 0.019, 성취도(Performance)는 F(2.370, 90.061) = 0.189, p = 0.862, η2 = 0.005, 노력(Effort)은 F(2.613, 99.283) = 1.830, p = 0.154, η2 = 0.046, 좌절감(Frustration)은 F(2.503, 95.106) = 1.875, p = 0.149, η2 = 0.047로 나타나 모두 통계적으로 유의하지 않았다.
평균값 비교 결과, 에러 횟수(Error count), 정신적 요구(Mental demand), 시간적 요구(Temporal demand), 좌절(Frustration)의 항목에서 모달리티 4(시각+청각 정보 제공, 도움말 제공) 조건이 가장 낮은 평균값을 보였다(Figure 7).
3.4 Interaction effects (age ⅹ modality)
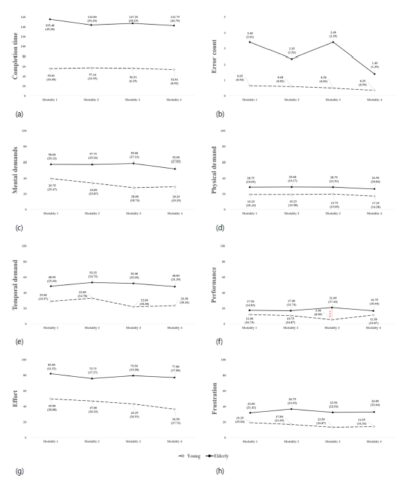
3.4.1 Mobile shopping task
모바일 쇼핑 과업에서 연령과 모달리티 간의 교호작용 효과를 분석한 결과, 에러 횟수(Error count)만 F(3, 114) = 14.689, p < 0.001, η2 = 0.279로 통계적으로 유의한 차이를 보였다. 반면, 완료 시간(Completion time)은 F(3, 114) = 0.691, p = 0.560, η2 = 0.018, 정신적 요구(Mental demand)는 F(2.546, 96.738) = 1.374, p = 0.257, η2 = 0.035, 신체적 요구(Physical demand)는 F(2.147, 81.587) = 0.010, p = 0.992, η2 = 0.000, 시간적 요구(Temporal demand)는 F(2.009, 76.337) = 1.007, p = 0.371, η2 = 0.026, 성취도(Performance)는 F(3, 114) = 0.980, p = 0.405, η2 = 0.025, 노력(Effort)은 F(1.951, 74.137) = 1.840, p = 0.167, η2 = 0.046, 좌절감(Frustration)은 F(3, 114) = 0.438, p = 0.726, η2 = 0.011로 나타나 통계적으로 유의하지 않았다(Figure 8).
Simple main effects of age
모달리티 조건과 연령 그룹의 교호작용에서 연령 그룹에 대한 단순 주효과의 결과는 다음과 같다(Figure 8).
모달리티의 모든 조건에서 고령층이 청년층보다 유의하게 더 많은 에러 횟수를 기록하였다.
Simple main effects of modality
모달리티 조건과 연령 그룹의 교호작용에서 모달리티 조건에 대한 단순 주효과의 결과는 다음과 같다(Figure 8).
청년층의 경우 네 가지 모달리티 간에 에러 횟수에 유의한 차이는 나타나지 않았다.
고령층에서는 모달리티 간 에러 횟수 항목에서 유의한 차이가 나타났으며, 도움말 기능이 포함된 모달리티 2, 4가 도움말 기능이 포함되지 않은 모달리티 1, 3보다 유의하게 낮은 에러 횟수를 기록하였다. 또한, 시각, 청각 정보가 제공되는 모달리티 4는 시각 정보만 제공되는 모달리티 2보다도 유의하게 낮은 에러 횟수를 보였다.
3.4.2 Food ordering task
음식 주문 과업에서 연령과 모달리티 간의 교호작용 효과를 분석한 결과, 완료 시간(Completion time)은 F(3, 114) = 3.049, p = 0.032, η2 = 0.074, 에러 횟수(Error count)는 F(2.145, 81.526) = 6.583, p = 0.002, η2 = 0.148, 성취도(Performance)는 F(2.167, 82.347) = 4.128, p = 0.017, η2 = 0.098로 나타나 통계적으로 유의한 차이를 보였다. 반면, 정신적 요구(Mental demand)는 F(2.681, 101.893) = 0.841, p = 0.463, η2 = 0.022, 신체적 요구(Physical demand)는 F(2.561, 97.325) = 0.371, p = 0.742, η2 = 0.010, 시간적 요구(Temporal demand)는 F(2.531, 96.174) = 0.389, p = 0.727, η2 = 0.010, 노력(Effort)은 F(2.590, 98.422) = 0.387, p = 0.734, η2 = 0.010, 좌절감(Frustration)은 F(2.584, 98.195) = 1.997, p = 0.128, η2 = 0.050으로 나타나 통계적으로 유의하지 않았다(Figure 9).
Simple main effects of age
모달리티 조건과 연령 그룹의 교호작용에서 연령 그룹에 대한 단순 주효과 분석의 결과는 다음과 같다(Figure 9).
모달리티 1, 2, 3에서 고령층이 청년층보다 유의하게 높은 완료 시간, 에러 횟수, 성취도를 기록하였다.
모달리티 4에서 고령층이 청년층보다 유의하게 높은 완료 시간, 에러 횟수를 기록하였다.
Simple main effects of modality
모달리티 조건과 연령 그룹의 교호작용에서 모달리티 조건에 대한 단순 주효과 분석의 결과는 다음과 같다(Figure 9).
청년층의 경우 네 가지 모달리티 간에 완료 시간, 에러 횟수, 성취도 항목에서 유의한 차이는 나타나지 않았다.
고령층에서는 완료 시간 항목에서 모달리티 4가 3보다 유의하게 낮은 완료 시간을 기록했으며, 에러 횟수 항목에서는 도움말 기능이 있는 모달리티 2가 1, 3 보다 유의하게 낮은 에러 횟수를 보였으며 음성 피드백과 도움말 기능이 있는 모달리티 4가 모달리티 3보다 유의하게 낮은 에러 횟수를 기록했다. 성취도는 모달리티 1과 비교했을 때 모달리티 3, 4가 유의하게 낮은 성취도 값을 기록했다.
3.4.3 Mobile banking task
모바일 뱅킹 과업에서 연령과 모달리티 간의 교호작용 효과를 분석한 결과, 성취도(Performance)만 F(2.605, 98.974) = 2.990, p = 0.041, η2 = 0.073으로 나타나 통계적으로 유의한 차이를 보였다. 반면, 완료 시간(Completion time)은 F(3, 114) = 0.696, p = 0.556, η2 = 0.018, 에러 횟수(Error count)는 F(2.566, 97.493) = 1.651, p = 0.189, η2 = 0.042, 정신적 요구(Mental demand)는 F(2.485, 94.437) = 0.563, p = 0.609, η2 = 0.015, 신체적 요구(Physical demand)는 F(1.645, 62.523) = 0.849, p = 0.413, η2 = 0.022, 시간적 요구(Temporal demand)는 F(3, 114) = 1.463, p = 0.228, η2 = 0.037, 노력(Effort)은 F(2.613, 99.283) = 2.591, p = 0.065, η2 = 0.064, 좌절감(Frustration)은 F(2.503, 95.106) = 0.261, p = 0.818, η2 = 0.007로 나타나 통계적으로 유의하지 않았다(Figure 10).
Simple main effects of age
모달리티 조건과 연령 그룹의 교호작용에서 연령 그룹에 대한 단순 주효과 분석의 결과는 다음과 같다(Figure 10).
모달리티 3에서 고령층이 청년층보다 성취도 항목에서 유의하게 높은 값을 기록하였다.
Simple main effects of modality
모달리티 조건과 연령 그룹의 교호작용에서 모달리티 조건에 대한 단순 주효과 분석의 결과는 다음과 같다(Figure 10).
청년층의 경우 네 가지 모달리티 간에 성취도 항목에서 유의한 차이는 나타나지 않았다.
고령층의 경우 네 가지 모달리티 간에 성취도 항목에서 유의한 차이는 나타나지 않았다.
본 연구는 연령과 모달리티 조건에 따른 모바일 앱 사용성 차이를 분석하였다. 현재 모바일 앱 서비스(모바일 쇼핑, 음식 주문, 모바일 뱅킹)에서는 고령층이 모든 과업에서 청년층보다 완료 시간과 에러 횟수가 유의하게 높았으며, 주관적 작업부하 또한 전반적으로 더 높았다(Tables 3-5). 연령의 주효과 분석을 보면, 3가지 모바일 앱 서비스 과업 모두에서 고령층이 청년층에 비해 유의하게 낮은 사용성 지표를 보였고, 특히 완료 시간, 에러 횟수, 노력에서 매우 큰 유의한 차이를 보였다(Tables 6-8). 모달리티의 주효과 분석 결과, 도움말 기능과 음성 피드백이 포함된 멀티 모달리티(모달리티 2, 4)가 에러 횟수를 유의하게 감소시켰다(Figures 5 and 6). 연령과 모달리티 간 교호작용 분석 결과, 도움말 기능과 음성 피드백이 포함된 멀티 모달리티(모달리티 2, 4) 조건에서 고령층의 완료 시간과 에러 횟수가 유의하게 감소하였으며, 모달리티 개선 효과가 고령층에서 더 크게 나타나는 경향이 확인되었다(Figures 8 and 9). 이는 적절한 안내 기능과 정보 채널의 조합이 연령 간 사용성 격차를 완화하는 데 기여할 수 있음을 시사한다.
현재 모바일 앱 환경에서 고령층이 어떤 어려움을 겪고 있는지를 분석하기 위해, 시각 정보만 제공되고 도움말 기능이 포함되지 않은 현재 모달리티 1 조건에서 연령 간 t-검정을 실시한 결과, 고령층은 모바일 쇼핑, 음식 주문, 모바일 뱅킹의 모든 과업에서 청년층보다 완료 시간과 에러 횟수가 유의하게 높았으며, 주관적 작업부하 항목에서도 정신적 요구, 시간적 요구, 노력에서 유의한 차이를 보였다(Tables 3-5). 이러한 결과는 고령층의 인지적 처리 속도 저하, 감각 기능 약화, 디지털 환경에 대한 낮은 친숙도와 같은 전반적인 인지적, 신체적 특성에 기인한 것으로 보인다(Czaja and Lee, 2007). 특히 쇼핑 과업에서는 상품 탐색과 선택 과정에서 정보량이 많고 조작 단계가 복잡하여 고령층의 어려움이 더욱 뚜렷하게 나타났을 가능성이 있다.
이원분산분석(ANOVA)의 연령 주효과 결과, 완료 시간, 에러 횟수, 그리고 NASA-TLX의 정신적 부하, 시간적 요구, 노력, 좌절 항목에서는 세 가지 과업 모두 고령층이 유의하게 더 높은 점수를 기록했지만, 신체적 요구 항목에서는 모든 과업에서 유의한 차이가 나타나지 않았다(Tables 6-8). 이는 본 연구에서 사용된 모바일 앱 과업이 주로 터치 기반이며 반복적인 손가락 조작만 요구하기 때문에, 고령층에게 물리적 부담이 크지 않았음을 의미한다(Wildenbos et al., 2018). 이러한 경향은 고령자들의 모바일 인터페이스 사용에서 신체적 부하보다 인지적, 정서적 부담이 더 중요한 영향을 미친다는 기존 연구와 일치한다(Charness and Boot, 2009).
이원분산분석에서 모달리티 주효과 분석 결과, 쇼핑 및 음식 주문 과업에서 에러 횟수 항목에서 통계적으로 유의한 차이가 나타났으며, 도움말 기능과 음성피드백이 포함된 멀티 모달리티(모달리티 2, 4)가 에러 횟수를 유의하게 감소시켰다(Figures 5 and 6). 이러한 결과는 시각 정보 외에도 청각 정보나 실시간 가이드를 병행하여 제공할 경우, 고령층이 정보를 더 명확하게 인지하고 작업을 보다 수월하게 수행할 수 있음을 의미한다(Hooten et al., 2013). 복수 감각 채널을 활용한 정보 제공은 고령자의 인지 과부하를 줄이고 작업 성과를 향상시키는 데 효과적인 전략으로 제시된 바 있다(Mayer and Moreno, 2003; Mykityshyn et al., 2002). 반면, 모바일 뱅킹 과업에서는 모달리티 간 유의한 차이가 나타나지 않아 과업 특성에 따라 모달리티 효과가 상이하게 작용함을 시사한다(Figure 7).
모바일 뱅킹 과업에서는 대부분의 평가 항목에서 모달리티의 주효과와 연령 × 모달리티 교호작용이 일관되게 나타나지 않았다(Figures 7-10). 이는 모바일 뱅킹이 일상적으로 반복 수행되는 과업이며, 실제 은행 앱의 지속적인 UX 개선을 통해 고령층 사용자에게도 비교적 단순하고 익숙한 구조가 제공되고 있기 때문에(Lee and Coughlin, 2015), 정보 제공 채널과 도움말 기능의 조합 차이가 추가적인 수행 향상이나 오류 감소로 이어지지 않았을 가능성이 있다.
쇼핑 및 음식 주문 과업에서는 도움말 기능과 음성 피드백이 포함된 모달리티 2, 4 조건에서 고령층의 완료 시간과 에러 횟수가 유의하게 감소하여, 연령 간 성능 격차가 축소되는 양상이 나타났다. 이는 고령층이 일관되게 더 낮은 성과를 보인다는 가정과 상반되는 결과로, 적절한 멀티모달 안내가 제공될 경우 고령층의 사용성이 상당 부분 향상될 수 있음을 시사한다. 반면 모바일 뱅킹 과업에서는 모달리티 조작에 따른 효과가 제한적이고, 연령 간 차이도 상대적으로 작게 나타났다. 이는 고령층이 이미 익숙한 서비스 영역에서는 모달리티 변화가 사용성에 미치는 영향이 줄어들 수 있음을 의미한다. 이러한 결과는 고령층의 모바일 사용성이 모든 과업에서 일괄적으로 저하된다는 관점보다는, 과업 친숙도와 멀티모달 도움말 제공 여부에 따라 연령 격차가 완화될 수 있는 조건이 존재함을 보여준다.
본 연구는 고령층과 청년층의 모바일 앱 사용성 차이를 모달리티에 따른 차별적인 접근 방식으로 분석하였다. 특히 고령층이 모든 과업에서 더 높은 수행 난이도와 부하를 경험했다는 점은 고령층 대상 모바일 앱 설계에서 중요한 시사점을 제공한다. 고령층은 모바일 기술에 대한 익숙지 않음과 신체적, 인지적 제한으로 인해 모든 과업에서 청년층보다 높은 에러 횟수와 긴 완료 시간을 기록하였다. 이는 모바일 앱 설계 시 고령층의 특성을 반영하여 사용성을 높이는 것은 중요한 고려 요소가 될 수 있음을 시사한다. 본 연구 결과, 음성 안내와 도움말 기능이 결합된 모달리티는 고령층의 인지적 부담을 줄이고 수행 효율을 높이는 데 특히 효과적인 것으로 나타났다. 따라서, 모바일 앱 설계 시에 음성 안내를 함께 제공하고, 도움말 기능을 쉽게 활용할 수 있도록 하는 것이 필요하다. 특히 도움말 기능은 현재의 챗봇 형태로 안내해주는 형태가 아닌 음성 인식을 통하여 고객의 요구사항을 확인한 후 이에 맞는 정보를 음성으로 제공하고 안내해주는 방식이 필요하다. 실험에서 구현한 것처럼 실제 상담(또는 안내) 직원이 고객의 불편사항이나 요구사항에 맞게 설명하는 방식에 가까운 AI 도움말 기능은 고령층의 디지털 서비스 이용을 지원하는 구체적인 설계 방향으로 제시될 수 있다.
본 연구는 몇 가지의 한계가 존재한다. 첫째, 본 연구에서 사용한 모바일 앱은 모바일 쇼핑, 음식 주문, 모바일 뱅킹으로 제한되었으며, 이는 일상적인 모바일 앱에서의 사용성 차이를 대표할 수 있지만, 다양한 카테고리의 앱이나 게임, 소셜미디어 등 다른 분야에서의 연구는 포함되지 않았다. 향후 연구에서는 다양한 모바일 앱 유형에서 고령층과 청년층 간 사용성 차이를 비교하고, 각 앱 카테고리에 따른 사용자 경험 차이를 분석할 필요가 있다. 둘째, 본 연구는 연령과 모달리티 요인에 집중하여 분석을 수행하였으며, 성별에 따른 사용성 차이나 글자 크기와 같은 시각적 인터페이스 요소의 영향은 고려하지 않았다. 셋째, 인간–컴퓨터 상호작용 분야에서 모달리티는 시각, 청각, 촉각 등 감각 채널에 기반한 인터페이스 유형을 의미한다(Hoggan, 2024). 그러나 본 연구에서는 모바일 앱 화면을 통한 시각 정보, 화면 터치 시 제공되는 음성 피드백, 필요 시 활성화되는 음성 기반 도움말 기능을 결합하여 네 가지 인터페이스 조건을 모달리티로 정의하였다. 이러한 구성은 감각 채널 관점의 의미에서의 모달리티 보다는 정보 채널과 지원 기능이 결합된 인터페이스 구성에 가깝다는 한계를 가진다. 이에 따라 향후 연구에서는 성별, 시각적 디자인 요소 등 다양한 사용자 특성을 통합적으로 고려하는 접근이 필요하다.
본 연구는 연령(청년층, 고령층)과 정보 제공 방식(모달리티)에 따라 모바일 앱 사용성에 어떠한 차이가 발생하는지를 분석하였다. 모바일 쇼핑, 음식 주문, 모바일 뱅킹의 세 가지 과업을 중심으로, 정량적 지표(완료 시간, 에러 횟수)와 주관적 작업부하 지표(NASA-TLX)를 통해 사용자 성과와 작업부하를 평가하였다. 분석 결과, 첫째, 연령 주효과에서 세 과업 모두 고령층은 청년층보다 완료 시간과 에러 횟수가 유의하게 높았고, NASA-TLX의 정신적 요구, 시간적 요구, 노력, 좌절감에서도 더 큰 작업부하를 보고하였으나, 신체적 요구에서는 유의한 차이가 나타나지 않았다. 둘째, 모달리티 주효과의 경우 도움말 기능과 음성 피드백이 포함된 멀티 모달리티(모달리티 2, 4)가 에러 횟수를 유의하게 감소시키고 일부 작업부하 지표를 개선하였다. 셋째, 교호작용(연령 × 모달리티)에서는 도움말 기능과 음성 피드백이 포함된 조건에서 고령층의 에러 횟수와 완료 시간이 두드러지게 감소하여 모달리티 개선 효과가 고령층에서 더 크게 나타나는 경향이 확인되었다.
이러한 결과는 고령 사용자의 인지적 특성과 정보 해석 방식에 적합한 사용자 인터페이스 설계가 필요함을 시사한다. 기존 상용 앱에서 널리 사용되는 시각 중심 인터페이스는 고령층에게 인지적 장벽으로 작용할 수 있으며, 음성 안내 및 도움말 기능의 통합은 고령층의 사용성을 개선하는 실질적인 전략이 될 수 있다. 따라서 향후 고령 사용자 중심의 인터페이스 설계에서는 과업의 난이도, 정보의 복잡성, 사용자의 사전 경험을 종합적으로 고려해야 한다.
본 연구는 연령별 사용자 특성을 반영한 모바일 앱 설계 방향에 대한 실증적 근거를 제시함으로써, 고령층의 디지털 환경 접근성 향상과 사용자 경험 개선에 기여할 수 있다. 특히 인지적 부담을 줄이고 수행 오류를 감소시키는 정보 제공 전략에 대한 구체적 시사점을 도출함으로써, 향후 유니버설 디자인 관점의 모바일 UX/UI 개발 및 고령자 친화적 인터페이스 설계 연구에 기반 자료로 활용될 수 있을 것이다.
References
1. Ashraf, M., Majeed, S., Sabbah, T., Abrar, M. and Zeshan, F., Comparative analysis of mobile phone usability for younger and older adults, Indian Journal of Science and Technology, 11(23), 1-6, 2018.
2. Charness, N. and Boot, W.R., Aging and information technology use: potential and barriers, Current Directions in Psychological Science, 18(5), 253-258, 2009.
Google Scholar
3. Costello, M.C., Madden, D.J., Mitroff, S.R. and Whiting, W.L., Age-related decline of visual processing components in change detection, Psychology and Aging, 25(2), 356-368, 2010.
Google Scholar
4. Czaja, S.J. and Lee, C.C., The impact of aging on access to technology, Universal Access in the Information Society, 5(4), 341-349, 2007.
Google Scholar
5. Devos, H., Gustafson, K., Ahmadnezhad, P., Liao, K., Mahnken, J.D., Brooks, W.M. and Burns, J.M., Psychometric Properties of NASA-TLX and Index of Cognitive Activity as Measures of Cognitive Workload in Older Adults. Brain Sciences, 10(12), 994, 2020.
Google Scholar
6. Framework Act on Youth, Article 3, Section 1, The Korean Law Information Center, 2023.
7. Field, A., Discovering Statistics Using SPSS (3rd ed.), SAGE Publications, 2009.
8. Gomez-Hernandez, M., Ferre, X., Moral, C. and Villalba-Mora, E., Design guidelines of mobile apps for older adults: systematic review and thematic analysis, JMIR mHealth and uHealth, 11, e43186, 2023.
Google Scholar
9. Grier, R.A., How high is high? A meta-analysis of NASA-TLX global workload scores. Proceedings of the Human Factors and Ergonomics Society Annual Meeting, 59(1), 1727-1731, 2015.
Google Scholar
10. Hart, S.G. and Staveland, L.E., Development of NASA-TLX (Task load index): results of empirical and theoretical research, In P.A. Hancock and N. Meshkati (Eds.), Advances in Psychology, 52, 139-183, 1988.
Google Scholar
11. Hoggan, E., Brewster, S.A. and Johnston, J., Investigating the effectiveness of tactile feedback for mobile touchscreens, Proceedings of the SIGCHI Conference on Human Factors in Computing Systems (CHI '08), 1573-1582, 2008.
Google Scholar
12. Hoggan, E., Multimodal interaction, In Interaction Techniques and Technologies in Human-Computer Interaction, 45-63. CRC Press, 2024.
Google Scholar
13. Hooten, E.R., Hayes, S.T. and Adams, J.A., Communicative modalities for mobile device interaction, International Journal of Human-Computer Studies, 71(10), 988-1002, 2013.
Google Scholar
14. Idrisov, B., Hallgren, K.A., Michaels, A., Soth, S., Darnton, J., Grekin, P., Woolworth, S., Saxon, A.J. and Tsui, J.I., Workload, usability, and engagement with a mobile app supporting video observation of methadone take-home dosing: a usability study, JMIR Human Factors, 10, e42654, 2023.
Google Scholar
15. Joung, H., An analysis on the difference in banking app usability by elderly age - Focusing on the PACMAD model, Journal of Korea Society of Industrial Information Systems, 28(2), 61-75, 2023.
16. Kim, T. and Ko, Y., Comparison of Information Perception between Younger Adults and Older Adults with An On-demand Food Delivery App, Journal of Product Research, 39(6), 137-146, 2021.
17. Lee, C. and Coughlin, J.F., Perspective: older adults' adoption of technology: an integrated approach to identifying determinants and barriers, Journal of Product Innovation Management, 32(5), 747-759, 2015.
Google Scholar
18. Mayer, R.E. and Moreno, R., Nine ways to reduce cognitive load in multimedia learning, Educational Psychologist, 38(1), 43-52, 2003.
Google Scholar
19. Mykityshyn, A.L., Fisk, A.D. and Rogers, W.A., Learning to use a home medical device: mediating age differences in health outcomes, Human Factors, 44(3), 354-364, 2002.
Google Scholar
20. Punchoojit, L. and Hongwarittorrn, N., Usability studies on mobile user interface design patterns: a systematic literature review, Advances in Human-Computer Interaction, 6787504, 2017.
Google Scholar
21. Thornton, L., Gardner, L.A., Osman, B., Green, O., Champion, K.E., Bryant, Z., Teesson, M., Kay-Lambkin, F., Chapman, C. and Health4Life Team, A multiple health behavior change, self-monitoring mobile app for adolescents: development and usability study of the Health4Life app, JMIR Formative Research, 5(4), e25513, 2021.
Google Scholar
22. Wang, Q., Liu, J., Zhou, L., Tian, J., Chen, X., Zhang, W., Wang, H., Zhou, W. and Gao, Y., Usability evaluation of mHealth apps for elderly individuals: a scoping review, BMC Medical Informatics and Decision Making, 22(1), 317, 2022.
Google Scholar
23. Welfare of Senior Citizens Act, Article 39, Section 9, The Korean Law Information Center, 2024.
24. Wildenbos, G.A., Peute, L.W. and Jaspers, M.W., Aging barriers influencing mobile health usability for older adults, International Journal of Medical Informatics, 114, 66-75, 2018.
Google Scholar
PIDS App ServiceClick here!